Distribution Transformer Datasheet
Distribution Transformer Datasheet: Understanding the Key Specifications
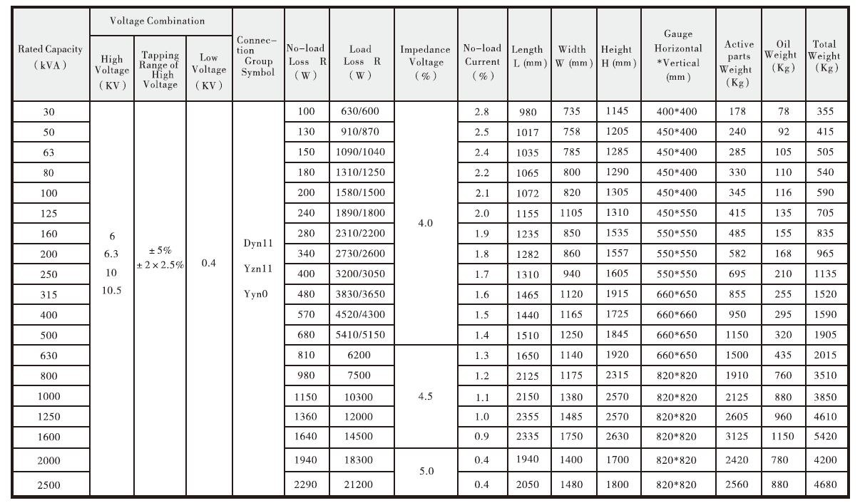
A distribution transformer is an essential component of the energy distribution network. It steps down high voltage electricity from the transmission line to a working voltage suitable for residential and commercial use. A distribution transformer datasheet contains critical information about its technical specifications that help in selecting the right transformer for the electrical design.

Voltage Rating: The voltage rating of the transformer refers to the voltage at which it operates continuously. It is essential to choose a transformer with the correct voltage rating to prevent damage to the equipment and ensure optimal performance.
KVA Rating: The KVA rating refers to the transformer's capacity to deliver power. It is a crucial parameter as it determines the number of loads the transformer can supply energy to. Choosing a transformer with an appropriate KVA rating is essential to prevent overloading and equipment damage.
Impedance: The impedance of a transformer is crucial as it determines the capacity to regulate voltage by providing resistance to electrical current. It is represented as a percentage and can vary from 2% to 8%. Choosing a transformer with the appropriate impedance level is essential for the proper functioning of the transformer.
Insulation Class: The insulation class of the transformer indicates the level of insulation provided to the transformer. Choosing the appropriate insulation class is critical depending on the location where the transformer is installed (indoor or outdoor) and the potential hazards present.
Efficiency: The efficiency of a transformer is an important parameter that determines the amount of power that gets lost during the conversion process. A higher efficiency transformer will save on energy costs and contribute to reducing carbon emissions.
Frequency Rating: The frequency rating of a transformer refers to the number of cycles per second at which it operates. It is essential to choose a transformer with the correct frequency rating as it can cause damage if used outside its frequency rating.
Dimensions and Weight: The dimensions and weight of a transformer are important technical specifications to ensure that it fits correctly in the designated space and the weight capacity of the mounting structures.
Conclusion
A distribution transformer datasheet provides critical information on the transformer's technical specifications necessary for selecting the right transformer for electrical design. The voltage rating, KVA rating, impedance, insulation class, efficiency, frequency rating, dimensions, and weight are the essential parameters to consider when choosing the appropriate transformer for your electrical system's optimal performance.

